

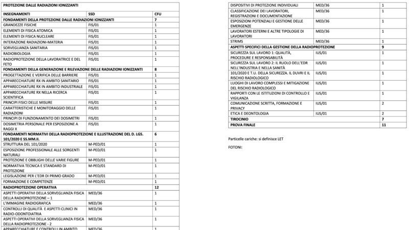
Nell'immagine ho riportato tutto il programma del master PROTEZIONE dalle RADIAZIONI IONIZZANTI presso Univrsità e Campus, master el quale ho concluso i 5 esami (titolo in grassetto nell'immagine ch ho amndato): ogni argomento è ripetuto almeno 2 volte. Faccio alcuni esempi.
l'argomnento della SORVEGLIANZA SANITARIA dell'omonimo modulo è ribadito tale e quale anche nel modulo "APPARECCHIATURE RX IN AMBITO INDUSTRIALE".
Le APPARECCHIATURE RX in AMBITO SANITARIO sono trattate, prma ancora che nell'omonimo modulo, nel modulo PROGETTAZIONE e VERIFICA delle BARRIERE.
I rivelatori di radiazioni ioinizzanti sono affrontati, a volte con nozioni comuni, a volte con nozioni complementari, nei moduli PROGETTAZIONE E VERIFICA DELLE BARRIERE, PRINCIPI FISICI DELLE MISURE e CARATTERISTICHE E MONITORAGGIO DELLE RADIAZIONI.
I concetti fisici alla base dell'INTERAZIONE RADIAZIONE - MATERIA sono affronatati non solo nell'omonimo modulo ma anche nel modulo GRANDEZZE FISICHE: l'ho scoperto dopo già averli affrontati nel modulo INTERAZIONE RADIAZIONE - MATERIA perché non ho ricevuto i moduli uno dopo l'altro, bensì varie parti di moduli diversi in parallelo.
La parte normativa del Dlgs 101/2020 è a prima ancora che nei moduli dedicati (FONDAMENTI NORMATIVI DELLA RADIOPROTEZIONE E ILLUSTRAZIONE DEL D. LGS. 101/2020 E SS.MM.II.), nel modulo SORVEGLIANZA SANITARIA (per forza di cose) e anche nei moduli RADIOPROTEZIONE DELLA LAVORATRICE E DEL FETO, APPARECCHIATURE RX IN AMBITO INDUSTRIALE; il modulo LAVORATORI ESTERNI E ALTRE TIPOLOGIE DI LAVORATORI ripete tali e quali alcuni articoli del Dlgs 101 già affronanti nel modulo LEGISLAZIONE PER L’EDR DI PRIMO GRADO prima di dare esempi pratici di applicazione; nello stesso modulo risultano quindi ribaditi alcuni articoli del Dlgs 101 riportati in APPARECCHIATURE RX IN AMBITO INDUSTRIALE e prima ancora in RADIOPROTEZIONE DELLA LAVORATRICE E DEL FETO.
Potrei fare altri esempi di argomenti ripetuti una o + volte per il mero scopo di rggiungere i 60 crediti: a mio parere, 30 crediti sarebbero sufficienti per affrontare gli argomenti di questo master. Ho quasi perso più tempo a segnare che un argomento era già stato ribadito in precedenti moduli che a studiare e a rispondere alle domande in preparazione.
In conclusione: è piuttosto assurdo che la normativa vigente imponga che un master universitario di I livello debba avere 60 crediti!!