

Dear Supporters,
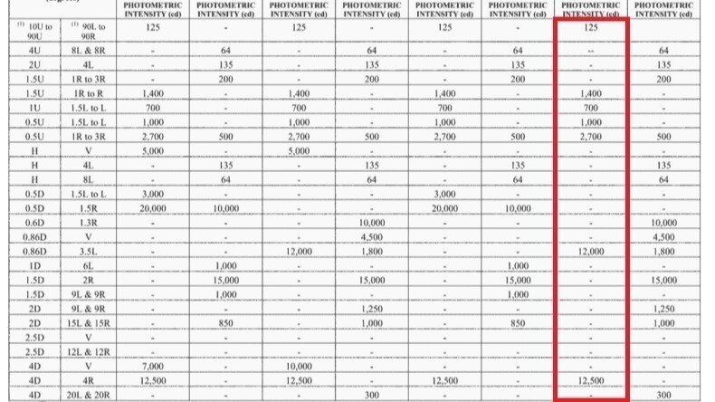
The included image shows NHTSA FMVSS-108 Table XIX-a with a red rectangle around the only column that matters. As you can see in the LB2V column, there are no limits on maximum intensity for the H,V test point, which is directly in front of the vehicle. This is what NHTSA won't acknowledge. This is what the media needs to be talking about. This one column in this one table in this one standard, plus the use of blue wavelength light, is why LED headlights are blinding 330,000,000 Americans.
We need action from Congress. Please send this image (the table with the red rectangle) to your member of Congress and ask them to hold a hearing and demand that NHTSA update this one column to set a maximum brightness limit for all test points.
Sincerely,
Mark Baker
President
Soft Lights Foundation
www.softlights.org
mbaker@softlights.org